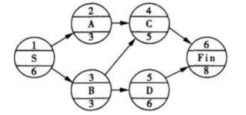
单代号网络计划如下图所示(时间单位:天),工作C的最迟开始时间是()天。
发布时间:2026年03月18日 11:39 中迅网校 阅读量:0
重要提醒
检测到您的账号已在其他设备登录,
请重新登录
退出登录重新登录