试验检测师&助理
关于桥梁动力特性表述正确的是()。
发布时间:2025年10月16日 10:43 中迅网校 阅读量:315
关于桥梁动力特性表述正确的是()。
  • A

    阻尼与结构的刚度和质量有关,与刚度成反比,与质量成正比

  • B

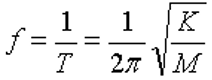
    自振频率与结构的刚度和质量有关,与刚度的平方根成正比,与质量的平方根成反比

  • C

    阻尼与材料的弹性模量和质量有关,与弹性模量成正比,与质量成反比

  • D

    自振频率与材料的弹性模量和质量有关,与弹性模量成反比,与质量成正比

查看答案

分享到:

相关试题
重要提醒
检测到您的账号已在其他设备登录,
请重新登录
退出登录重新登录