首页
购课
直播
题库
图书商城
企业团报
资讯
资讯
题库
课程
0
登录
/
注册
学习币:
余额:
我的服务
我的课程
我的题库
我的订单
我的资料
退出登录
水利工程质量检测员
资讯
资料
APP下载
工程类
试验检测师&助理
二级建造师
监理工程师
一级建造师
安全工程师
当前位置 >
水利工程质量检测员
>
模拟试题
>
公共基础
单次计量的标准偏差S的计算公式是()
发布时间:2026年01月13日 14:26
中迅网校
阅读量:166
单次计量的标准偏差S的计算公式是()
A
B
C
D
查看答案
参考答案:
B
参考解析:
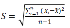
教材给出的标准偏差公式为:
。
分母使用n-1而不是n,是因为这样可以得到总体方差的无偏估计值。
分享到:
上一题:当计量值x服从正态分布N(μ,σ²)时,样本测定平均值服从的分布是()
下一题:计量结果表示式中,表示()
相关试题
更多...
计量的古典阶段是以( )为主的初级阶段。
已有151人浏览
水利工程质量实行项目法人(建设单位)负责、监理单位控制、施工单位保证和( )相结合的质量管理体制。
已有80人浏览
根据《建设工程质量管理条例》,建设单位不得明示或者暗示设计单位或者施工单位( )。
已有77人浏览
根据《检验检测机构资质认定管理办法》,检验检测原始记录、报告、证书的保存期限通常不少于 6 年。( )
已有78人浏览
对单位的罚款,一律从其自有资金中支付,不得列入成本。( )
已有92人浏览
标准实施后,制定标准的部门应当根据科学技术的发展和经济建设的需要适时进行复审,标准复审周期一般不超过( )年。
已有97人浏览
测量设备是测量仪器、测量标准、参考物质、辅助设备以及进行测量所必需资源的总称,包括与测量硬件相关的各种必要( )。
已有76人浏览
随机误差又被称之为()。
已有169人浏览
标准偏差S的分母是n而不是n-1。()
已有197人浏览
依据《检验检测机构资质认定评审准则》的规定,当检测结果处于标准规定的临界值附近时,检验检测机构应()。
已有85人浏览
热门资讯
· 水利部发布8项水利行业标准
· 重磅!水利部发布10项水利行业标准!
· 2026年水利部检测员考试大纲正式发布!
· 水利部发布9项水利行业标准,2025年12月29日起实施
· 水利工程检测员资格考试最新消息!
· 重磅!水利部开展2024年水利工程质量检测单位甲级资质认定工作
微信服务号
微信扫码关注获取福利
热门新闻
考试资讯
报名通知
直播提醒
重要提醒
检测到您的账号已在其他设备登录,
请重新登录
退出登录
重新登录