首页
购课
直播
题库
图书商城
企业团报
资讯
资讯
题库
课程
0
登录
/
注册
学习币:
余额:
我的服务
我的课程
我的题库
我的订单
我的资料
退出登录
水利工程质量检测员
资讯
资料
APP下载
工程类
试验检测师&助理
二级建造师
监理工程师
一级建造师
安全工程师
当前位置 >
水利工程质量检测员
>
模拟试题
>
质量检测基础
标准偏差S的分母是n而不是n-1。()
发布时间:2026年01月13日 14:50
中迅网校
阅读量:19
标准偏差S的分母是n而不是n-1。()
A
正确
B
错误
查看答案
参考答案:
B
参考解析:
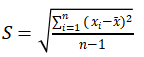
教材给出的标准偏差公式为
,分母是n-1,而不是n。使用n-1可以得到总体方差的无偏估计值。
分享到:
上一题:当计量值x服从正态分布N(μ,σ²)时,样本测定平均值服从正态分布N(μ,σ²/n)。()
下一题:真值μ落在置信区间的置信概率为P=α。()
相关试题
更多...
误差无法测得,而不确定度可以定量评定。
已有18人浏览
《指导意见》提出要设立(),不断凝聚社会共识、营造良好氛围。
已有20人浏览
国家标准由()编制计划,组织草拟,统一审批、编号、发布
已有14人浏览
社会公用计量标准器具使用前须经()主持考核合格。
已有16人浏览
单次计量的标准偏差S的计算公式是()
已有21人浏览
关于检测业务的转包,下列说法中不符合新版《办法》精神的是()。 (注:本题为反向考察,请选择错误的说法,意在强调严禁转包)
已有15人浏览
为了保护企业积极性,对于出现质量违法行为的企业,应避免公开其违法记录。()
已有13人浏览
依据《关于实施〈检验检测机构资质认定管理办法〉的若干意见》,检验检测机构的授权签字人应具有高级及以上专业技术职称或同等能力。
已有19人浏览
只有国家标准才有强制性标准和推荐性标准之分。
已有14人浏览
线性度是指测量仪器计量特性的慢变化。( )
已有18人浏览
热门资讯
· 重磅!水利部发布10项水利行业标准!
· 2026年水利部检测员考试大纲正式发布!
· 水利部发布9项水利行业标准,2025年12月29日起实施
· 水利工程检测员资格考试最新消息!
· 重磅!水利部开展2024年水利工程质量检测单位甲级资质认定工作
微信服务号
微信扫码关注获取福利
热门新闻
考试资讯
报名通知
直播提醒
重要提醒
检测到您的账号已在其他设备登录,
请重新登录
退出登录
重新登录