首页
购课
直播
题库
图书商城
企业团报
资讯
资讯
题库
课程
0
登录
/
注册
学习币:
余额:
我的服务
我的课程
我的题库
我的订单
我的资料
退出登录
水利工程质量检测员
资讯
资料
APP下载
工程类
试验检测师&助理
二级建造师
监理工程师
一级建造师
安全工程师
当前位置 >
水利工程质量检测员
>
模拟试题
>
公共基础
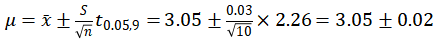
某试样10次计量的平均值为3.05,标准偏差为0.03,在95%置信度下(t₀.₀₅,₉=2.26),该试样中钠的真实含量可表示为()
发布时间:2026年01月13日 14:41
中迅网校
阅读量:131
某试样10次计量的平均值为3.05,标准偏差为0.03,在95%置信度下(t₀.₀₅,₉=2.26),该试样中钠的真实含量可表示为()
A
3.05±0.01
B
3.05±0.02
C
3.05±0.03
D
3.05±0.04
查看答案
参考答案:
B
参考解析:
根据教材例题的计算过程:
因此正确答案是B。
分享到:
上一题:在计量结果表示中,称为()
下一题:在公式中,自由度f等于()
相关试题
更多...
监理工程师应当按照工程监理规范的要求,采取()等形式对建设工程实施监理。
已有139人浏览
修约间隔为 0.1 时,1.050 修约值为( )。
已有156人浏览
质量保证在组织内部向管理者提供信任,在外部向顾客或他方提供信任。( )
已有97人浏览
依据《检验检测机构资质认定评审准则》的规定,关于检验检测机构的公正性要求,以下描述正确的有()。
已有86人浏览
保密文件的交接可以通过邮局邮寄。( )
已有75人浏览
根据《水利工程质量检测管理规定》,检测单位伪造检测数据,出具虚假质量检测报告的,由县级以上人民政府水行政主管部门给予警告,并处( )万元罚款。
已有82人浏览
水利工程质量检测单位应当建立档案管理制度,检测合同、委托单、原始记录、质量检测报告应当按年度统一编号,编号应当连续,不得随意( )。
已有76人浏览
以下哪种属于虚假检测报告。()
已有81人浏览
关于测量,下列说法正确的是()
已有147人浏览
以下哪位人员可以担任检验检测机构的技术负责人()。
已有82人浏览
热门资讯
· 水利部发布8项水利行业标准
· 重磅!水利部发布10项水利行业标准!
· 2026年水利部检测员考试大纲正式发布!
· 水利部发布9项水利行业标准,2025年12月29日起实施
· 水利工程检测员资格考试最新消息!
· 重磅!水利部开展2024年水利工程质量检测单位甲级资质认定工作
微信服务号
微信扫码关注获取福利
热门新闻
考试资讯
报名通知
直播提醒
重要提醒
检测到您的账号已在其他设备登录,
请重新登录
退出登录
重新登录