案例5【背景资料】:某泵站工程施工招标文件按照《水利水电工程标准施工招标文件》(2009年版)和《水利工程工程量清单计价规范》(GB50501200)编制。专用合同条款约定:泵站工程的管理用房列为暂估价项目,金额为1200万元。增值税税率为9%。投标人甲结合本工程特点和企业自身情况分析,讨论了施工投标不平衡报价的策略和利弊,其编制的投标文件部分内容如下:已标价的工程量清单中,钢筋制作与安装单价分析表(部分)见表5。投标人乙中标承建该项目,合同总价19600万元。合同中约定:工程预付款按签约合同价的10%支付,开工前由发包人一次性付清;工程预付款按照公式扣还,其中F1=20%,F2=80%;承包人缴纳的履约保证金兼具工程质量保证金功能,施工进度付款中不再扣留质量保证金。工程实施期间发生如下事件:事件一:施工过程中,发现实际地质情况与发包人提供的地质情况不同,经设计变更,新增了地基处理工程(合同工程量清单中无地基处理相关子目)。各参建方及时办理了变更手续。事件二:截至工程开工后的第10个月末,承包人累计完成合同金额14818万元,第11个月经项目法人和监理单位审核批准的合同金额为1450万元。事件三:项目法人主持了泵站首台机组启动验收,工程所在地区电力部门代表参加了验收委员会。泵站机组带额定负荷7天内累计运行了42小时,机组无故障停机次数3次。在机组启动试运行完成前,验收主持单位组织了技术预验收。【问题】1.写出表5中A、B、C、D、E和F分别代表的名称或数字。(计算结果保留两位小数)2.根据背景材料,写出投标人在投标阶段不平衡报价的常用策略及存在的弊端。3.写出事件一中变更工作的估价原则。4.计算11月份的预付款以及实际工程款多少万元,计算结果保留两位小数。5.根据《水利水电建设工程验收规程》(SL232008),指出事件三中的错误之处,说明理由。
发布时间:2025年03月10日 15:28 中迅网校 阅读量:400

案例5【背景资料】:
某泵站工程施工招标文件按照《水利水电工程标准施工招标文件》(2009年版)和《水利工程工程量清单计价规范》(GB50501200)编制。专用合同条款约定:泵站工程的管理用房列为暂估价项目,金额为1200万元。增值税税率为9%。
投标人甲结合本工程特点和企业自身情况分析,讨论了施工投标不平衡报价的策略和利弊,其编制的投标文件部分内容如下:
已标价的工程量清单中,钢筋制作与安装单价分析表(部分)见表5。

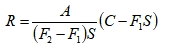
投标人乙中标承建该项目,合同总价19600万元。合同中约定:工程预付款按签约合同价的10%支付,
开工前由发包人一次性付清;工程预付款按照公式扣还,其中F1=20%,F2=80%;
承包人缴纳的履约保证金兼具工程质量保证金功能,施工进度付款中不再扣留质量保证金。工程实施期间发生如下事件:
事件一:施工过程中,发现实际地质情况与发包人提供的地质情况不同,经设计变更,新增了地基处理工程(合同工程量清单中无地基处理相关子目)。各参建方及时办理了变更手续。
事件二:截至工程开工后的第10个月末,承包人累计完成合同金额14818万元,第11个月经项目法人和监理单位审核批准的合同金额为1450万元。
事件三:项目法人主持了泵站首台机组启动验收,工程所在地区电力部门代表参加了验收委员会。泵站机组带额定负荷7天内累计运行了42小时,机组无故障停机次数3次。在机组启动试运行完成前,验收主持单位组织了技术预验收。
【问题】
1.写出表5中A、B、C、D、E和F分别代表的名称或数字。(计算结果保留两位小数)
2.根据背景材料,写出投标人在投标阶段不平衡报价的常用策略及存在的弊端。
3.写出事件一中变更工作的估价原则。
4.计算11月份的预付款以及实际工程款多少万元,计算结果保留两位小数。
5.根据《水利水电建设工程验收规程》(SL232008),指出事件三中的错误之处,说明理由。

查看答案

分享到:

上一题:案例4【背景资料】:某水利工程项目发包人与承包人签订了工程施工承包合同。投标报价文件按照《水利工程设计概(估)算编制规定(工程部分)》(水总[2014]429号)和《水利建筑工程预算定额》编制。工程实施过程中发生如下事件:事件一:承包人为确保工程进度,对某混凝土分部工程组织了流水施工,经批准的施工网络计划如图4所示(A为钢筋安装,B为模板安装,C为混凝土浇筑)。其中,C1工作的各时间参数为事件二:上述混凝土分部工程施工到第15天末,承包人对工程进度进行了检查,并以实际进度前锋线记录在图4中。为确保该分部工程能够按计划完成,承包人组织技术人员对相关工作的可压缩时间和对应增加的成本进行分析,结果见表4。承包人据此制定了工期优化方案。事件三:进入冬期施工后,承包人按监理工程师指示对现浇混凝土进行了覆盖保温。承包人要求调整混凝土工程单价,补偿保温材料费。事件四:某日当地发生超标准洪水,工地被淹。承包人预估了本次洪灾造成的损失,启动索赔程序。【问题】1.写出事件一中EF、TF、LS、LF、FF分别代表的数值。2.根据事件二,说明第15天末的进度检查情况(按“×工作实际比计划提前或滞后×天”表述),并判断对计划工期的影响。3.写出工期优化方案(按“××工作压缩天”表述)及相应增加的总成本。4.事件三中,承包人提出的要求是否合理?说明理由。5.写出事件四中承包人的索赔程序。 下一题:案例6【背景资料】:某大型引调水工程位于Q省X市,第5标段河道长10km。主要工程内容包括河道开挖、现浇混凝土护坡以及河道沿线生产桥。工程沿线涉及黄庄村等5个村庄。根据地质资料,沿线河道开挖深度范围内均有膨胀土分布,地面以下1~2m地下水丰富且土层透水性较强。本标段土方1100万m³,合同价约4亿元,计划工期2年,招标文件按照《水利水电工程标准施工招标文件》(2009年版)编制,评标办法采用综合评估法,招标文件中明确了最高投标限价。建设管理过程中发生如下事件:事件一:评标办法中部分要求见表6-1。招标文件约定,评标委员会在对实质性响应招标文件要求的投标进行报价评估时,对投标报价中算术性错误按现行有关规定确定的原则进行修正。事件二:投标人甲编制的投标文件中,河道护坡现浇混凝土配合比材料用量(部分)见表6-2。主要材料预算价格:水泥0.35元/kg,砂0.08元/kg,水0.05元/kg。事件三:合同条款中,价格调整约定如下:1.对水泥、钢筋、油料三个可调因子进行价格调整;2.价格调整计算公式为△M=[P-(1±5%)P0]×W,式中△M代表需调整的价格差额,P代表可调因子的现行价格,P0代表可调因子的基本价格,W代表材料用量。【问题】1.事件一中,对投标报价中算术性错误进行修正的原则是什么?2.针对事件一,指出表6-1中评审标准的不合理之处,并说明理由。3.根据背景材料,合理分析本标段施工的重点和难点问题。4.分别指出事件二表6-2中A、B、C、D、E、F所代表的含义。5.计算事件二中每m³水泥砂浆M10的预算单价。6.事件三中,为了价格调整的计算,还需约定哪些因素?
相关试题
重要提醒
检测到您的账号已在其他设备登录,
请重新登录
退出登录重新登录