试验检测师&助理
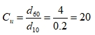
(9)该土样的曲率系数为()。
发布时间:2025年04月11日 16:51 中迅网校 阅读量:522

2.某一水运工程中的土样颗粒分析结果为:小于4mm的土重占比为60%,小于1mm的土重占比为 30%,小于 0.2mm 的土重占比为10%,请回答下列问题。

(9)该土样的曲率系数为()。

  • A

    1.25

  • B

    5

  • C

    20

  • D

    30

查看答案

分享到:

重要提醒
检测到您的账号已在其他设备登录,
请重新登录
退出登录重新登录