试验检测师&助理
(10)该土样的颗粒缓配为()。
发布时间:2025年04月11日 16:52 中迅网校 阅读量:500

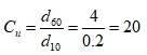
2.某一水运工程中的土样颗粒分析结果为:小于4mm的土重占比为60%,小于1mm的土重占比为 30%,小于 0.2mm 的土重占比为10%,请回答下列问题。

(10)该土样的颗粒缓配为()。

  • A

    良好

  • B

    不良

  • C

    松散

  • D

    密实

查看答案

分享到:

重要提醒
检测到您的账号已在其他设备登录,
请重新登录
退出登录重新登录