首页
购课
直播
题库
图书商城
企业团报
资讯
资讯
题库
课程
0
登录
/
注册
学习币:
余额:
我的服务
我的课程
我的题库
我的订单
我的资料
退出登录
二级建造师
招生简章
NEW
资讯
资料
APP下载
工程类
试验检测师&助理
二级建造师
监理工程师
一级建造师
安全工程师
当前位置 >
二级建造师
>
模拟试题
>
施工管理
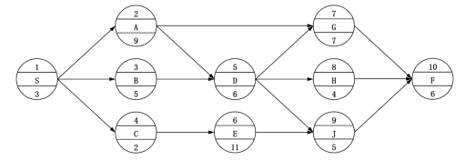
某工程单代号网络计划如下图所示,图中节点下方数字为相应工作的持续时间。下列工作中,属于非关键工作的有()。
发布时间:2025年12月16日 16:30
中迅网校
阅读量:21
某工程单代号网络计划如下图所示,图中节点下方数字为相应工作的持续时间。下列工作中,属于非关键工作的有()。
A
工作A
B
工作B
C
工作C
D
工作D
E
工作E
查看答案
参考答案:
BCE
参考解析:
分享到:
上一题:控制施工现场扬尘技术措施有()。
下一题:建设工程缺陷责任期最长的期限为()。
相关试题
更多...
【已根据新版教材调整】企业在获得认证后,应经常性地进行内部审核,维持质量管理体系的有效性,并()接受认证机构对其质量管理体系维持情况的定期监督检查。【教材相关知识点已更改】
已有387人浏览
下列施工成本管理措施中,属于技术措施的有()。
已有973人浏览
某建设工程采用《建设工程工程量清单计价规范》,招标工程量清单中挖土方工程量为2500m³。投标人根据地质条件和施工方案计算的挖士方工程量为4000m³完成该土方分项工程的人、材、机费用为98000元,管理费13500元,利润8000元。如不考虑其他因素,投标人报价时的挖土方综合单价为()元/m³。
已有1218人浏览
施工项目进度、质量成本、安全和绿色目标系统中,任一目标发生变化都将对其他目标产生影响,这反映了施工项目的()特性。
已有10人浏览
建设工程施工质量验收时,分部工程的划分一般按()确定。
已有1024人浏览
特殊施工过程的质量控制中,专业技术人员编制的作业指导书应经( )审批后方可执行。
已有950人浏览
项目经理部是施工现场第一线管理机构,应设置以()为第一责任人的安全管理小组。
已有1121人浏览
建筑安装工程费用的构成中,社会保险费的计算基础是()。
已有502人浏览
某市拟新建一大型会展中心,项目建设单位组织有关专家对该项目的总进度目标进行论证,在调查研究和收集资料后,紧接着应进行的工作是()。
已有1244人浏览
【已根据新版教材调整】绿色施工技术措施中,鼓励施工就地取材,要求施工现场500km以内生产的建筑材料用量占建筑材料总重量的()以上。
已有369人浏览
热门资讯
· 四川住建厅:抽查2727名注册建造师!严查社保缴纳情况
· 西安市: 12月1日起,质量安全监管系统正式启用!
· 安徽:关于我省二级建造等注册证书电子证照信息优化的公告
· 辽宁省:关于加强房屋市政工程安全生产相关电子证照动态监管的通知
· 四川省:关于开展2025年度建筑业企业和注册建造师“双随机”检查工作的通知
· 注册建造师一年内变更注册单位2次及以上的,在资质审批中不作为有效人员认定!
· 住建委:二级建造师能担任监理单位的监理工程师!
· 372人不合格!河南省发布2025年二建考后资格核查结果
· 建造师证书如果在短期内多次重新注册在新的企业,是否会撤销证书?
· 内蒙古考区:关于发放2025年度二级建造师执业资格电子证书的通知
微信服务号
微信扫码关注获取福利
热门新闻
考试资讯
报名通知
直播提醒
重要提醒
检测到您的账号已在其他设备登录,
请重新登录
退出登录
重新登录