试验检测师&助理
(6)关于土的颗粒级配与不均匀系数关系,说法正确的是()。
发布时间:2025年04月11日 16:49 中迅网校 阅读量:483

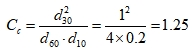
2.某一水运工程中的土样颗粒分析结果为:小于4mm的土重占比为60%,小于1mm的土重占比为 30%,小于 0.2mm 的土重占比为10%,请回答下列问题。

(6)关于土的颗粒级配与不均匀系数关系,说法正确的是()。

  • A

    曲率系数大于3,不均匀系数越小表示土的颗粒级配越良好

  • B

    曲率系数1~3,不均匀系数越大表示土的颗粒级配越良好

  • C

    曲率系数小于1,不均匀系数越接近于1则表示土的颗粒级配越良好

  • D

    曲率系数小于1,不均匀系数越接近于3则表示土的颗粒级配越良好

查看答案

分享到:

重要提醒
检测到您的账号已在其他设备登录,
请重新登录
退出登录重新登录